

沉水式鼓风机进水了怎么办 日期:2019-12-16 13:10:04 点击:629
沉水式鼓风机故名意思是安装在水中使用的,其特点是噪音低、运行稳定、高效节能、曝气···
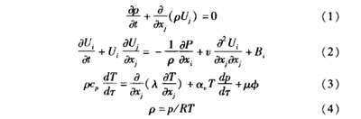
四叶罗茨鼓风机非稳态流动模拟 日期:2019-12-12 13:08:54 点击:687
罗茨鼓风机属容积式风机,是一种典型的气体增压与输送机械产品,广泛应用于石油、化工···
激光切割机排版时需要注意哪些问题 日期:2019-12-11 13:21:03 点击:664
在使用激光切割机之前我们需要先把设计图纸导入程序中,再利用软件把要切割的图形排布···
一体化污水处理沉水风机 日期:2019-12-09 13:22:12 点击:643
随着经济和人口的增长,对大自然的污染愈来愈受到人类的重视,我国在总结国内外生活污···
空压机空车运转、负荷运转讲解 日期:2019-12-05 11:35:43 点击:803
空压机空车运转、负荷运转分别代表了什么意思,两者之间的区别在哪里?本文今天都会一···
永磁变频空压机非常规跳机 日期:2019-12-04 11:47:52 点击:677
永磁变频空压机过载会直接导致设备断电停止运行,这是因为空压机上安装有保护器,一旦···
空压机维修人员的常见“问题” 日期:2019-12-03 13:27:19 点击:699
目前市场上干空压机维修的人不少,除了厂家以外经销商、五金店、游击队等等都有,整个···